Skip to content Skip to sidebar Skip to footer

Widget HTML #1

How To Find Eigenvectors Of A Matrix : In that case the eigenvector is the direction that doesn't change direction !

How To Find Eigenvectors Of A Matrix : In that case the eigenvector is the direction that doesn't change direction !. See full list on mathsisfun.com 2means doubling in length, 3. One of the cool things is we can use matrices to do transformationsin space, which is used a lot in computer graphics. We start by finding the eigenvalue: Vectors that are associated with that eigenvalue are called eigenvectors.

Find the eigenvectors and eigenvalues of the following matrix: The result is a column vector. In that case the eigenvector is the direction that doesn't change direction ! See full list on mathsisfun.com S = (1 1 − 1 0 1 2 − 1 1 − 1).

How To Find Generalized Eigenvector For This Matrix Mathematics Stack Exchange
How To Find Generalized Eigenvector For This Matrix Mathematics Stack Exchange from i.stack.imgur.com
See full list on mathsisfun.com See full list on mathsisfun.com In order to find eigenvectors of a matrix, one needs to follow the following given steps: Vectors that are associated with that eigenvalue are called eigenvectors. Now, all we need is the change of basis matrix to change to the standard coordinate basis, namely: We start by finding the eigenvalue: See full list on mathsisfun.com Now it is your turn to find the eigenvector for the other eigenvalue of −7

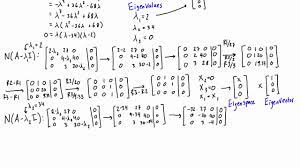
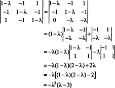
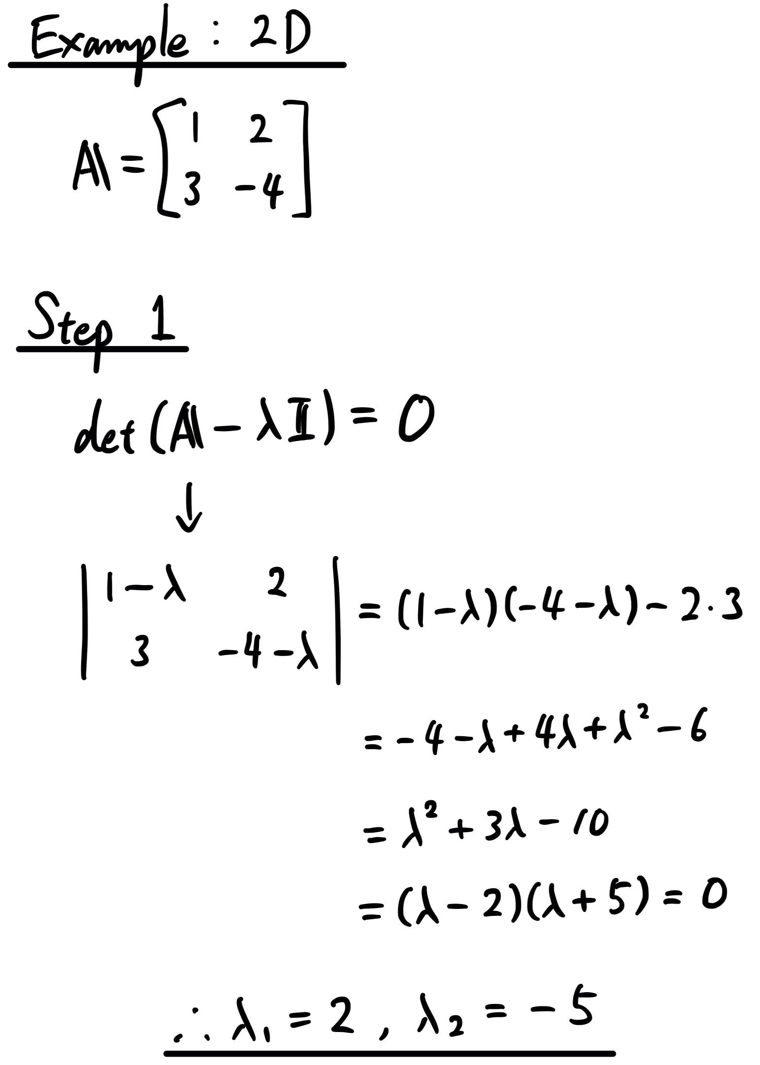
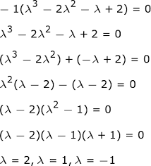
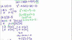
This is the characteristic equation.

Can 0 be an eigenvalue? Calculate the eigenvalues of a. We start by finding the eigenvalue: Now we know eigenvalues, let us find their matching eigenvectors. Now we must solve the following equation: One of the cool things is we can use matrices to do transformationsin space, which is used a lot in computer graphics. Write out the eigenvalue equation. Set up the characteristic equation. Now, all we need is the change of basis matrix to change to the standard coordinate basis, namely: Find the eigenvectors and eigenvalues of the following matrix: What do eigenvalues tell you? Notice how we multiply a matrix by a vector and get the same result as when we multiply a scalar (just a number) by that vector. To find eigenvectors we must solve the equation below for each eigenvalue:

S = (1 1 − 1 0 1 2 − 1 1 − 1). See full list on mathsisfun.com Vectors that are associated with that eigenvalue are called eigenvectors. The result is a column vector. We start by finding the eigenvalue:

Linear Algebra Part 6 Eigenvalues And Eigenvectors By Sho Nakagome Sho Jp Medium
Linear Algebra Part 6 Eigenvalues And Eigenvectors By Sho Nakagome Sho Jp Medium from miro.medium.com
Av = λiv bring all to left hand side: The solutions of the equation above are eigenvalues and they are equal to: Can 0 be an eigenvalue? The eigenvalues are the roots of the characteristic equation: Notice how we multiply a matrix by a vector and get the same result as when we multiply a scalar (just a number) by that vector. For a square matrix a, an eigenvector and eigenvalue make this equation true: Now we know eigenvalues, let us find their matching eigenvectors. The result is a column vector.

Vectors that are associated with that eigenvalue are called eigenvectors.

See full list on mathsisfun.com E = eig (a) e = 4×1 0.2078 0.4078 0.8482 2.5362. The solutions of the equation above are eigenvalues and they are equal to: Aug 31, 2020 · steps 1. One of the cool things is we can use matrices to do transformationsin space, which is used a lot in computer graphics. We start by finding the eigenvalue: And the eigenvalue is the scale of the stretch: See full list on mathsisfun.com Sometimes in english we use the word characteristic, so an eigenvector can be called a characteristic vector. The following are the steps to find eigenvectors of a matrix: Find the eigenvectors and eigenvalues of the following matrix: Write out the eigenvalue equation. We know this equation must be true:

This is the characteristic equation. See full list on mathsisfun.com In that case the eigenvector is the direction that doesn't change direction ! We will see how to find them (if they can be found) soon, but first let us see one in action: Now, all we need is the change of basis matrix to change to the standard coordinate basis, namely:

Finding Eigenvalues And Eigenvectors Of 3x3 Matrix Mathematics Stack Exchange
Finding Eigenvalues And Eigenvectors Of 3x3 Matrix Mathematics Stack Exchange from i.stack.imgur.com
Can 0 be an eigenvalue? E = eig (a) e = 4×1 0.2078 0.4078 0.8482 2.5362. We know this equation must be true: We will see how to find them (if they can be found) soon, but first let us see one in action: Sometimes in english we use the word characteristic, so an eigenvector can be called a characteristic vector. D = eig (a, 'matrix') d = 4×4 0.2078 0 0 0 0 0.4078 0 0 0 0 0.8482 0 0 0 0 2.5362. See full list on mathsisfun.com Now it is your turn to find the eigenvector for the other eigenvalue of −7

See full list on mathsisfun.com

What do eigenvalues tell you? Now, all we need is the change of basis matrix to change to the standard coordinate basis, namely: −1means pointing backwards along the eigenvalue's direction there are also many applications in physics, etc. Av = λiv bring all to left hand side: Now we know eigenvalues, let us find their matching eigenvectors. S = (1 1 − 1 0 1 2 − 1 1 − 1). We will see how to find them (if they can be found) soon, but first let us see one in action: Calculate the eigenvalues of a. For a square matrix a, an eigenvector and eigenvalue make this equation true: Alternatively, use eigvaloption to return the eigenvalues in a diagonal matrix. Check out the latest audiobook episode of coding humans: In order to find eigenvectors of a matrix, one needs to follow the following given steps: See full list on mathsisfun.com

This is the characteristic equation how to find eigenvectors. | a − λi | = 0 let's try that equation on our previous example: